• Предмет: Алгебра
  • Автор: gleb4747
  • Вопрос задан 8 лет назад

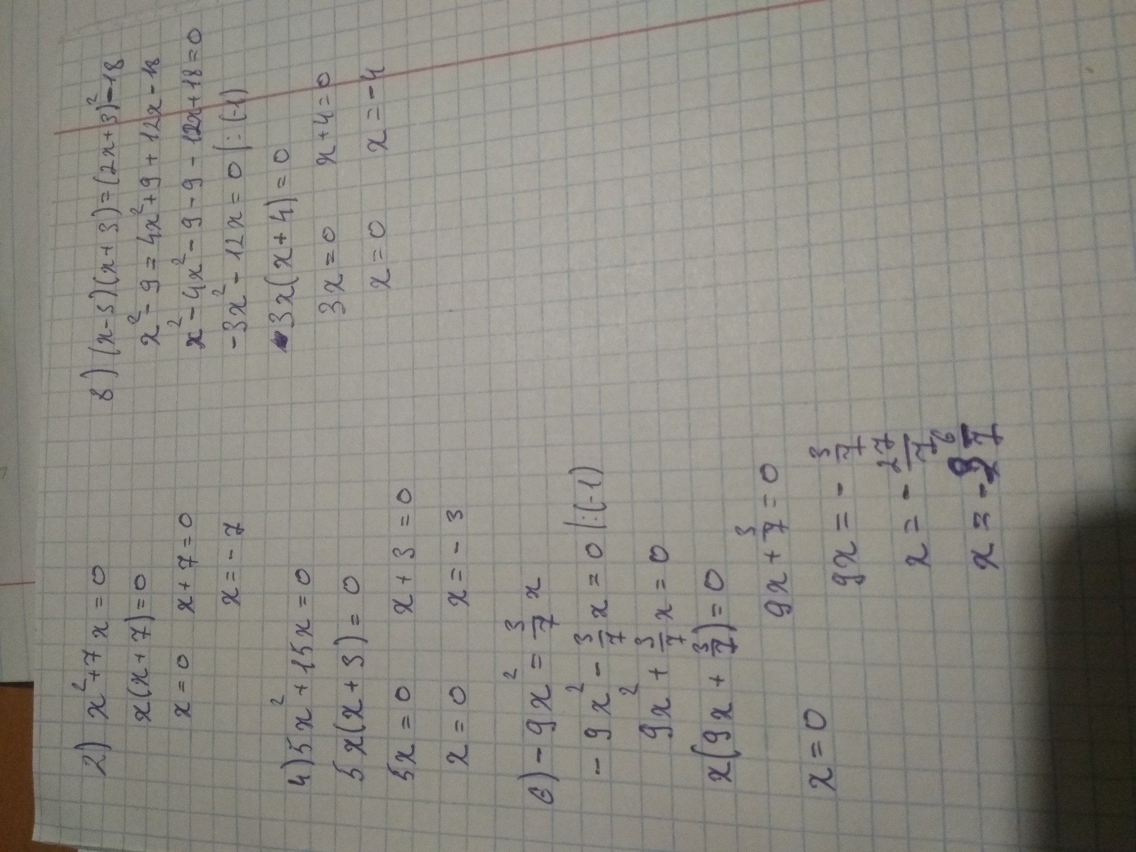
помогите пожалуйста решить примеры (2,4,6,8) даю сразу 40 баллов ​

Приложения:

Ответы

Ответ дал: viktor4331
0

2) x^2 +7x = 0

x(x+7)=0

x = 0

x= -7

ответ: -7;0

4)5x^2 + 15x = 0

5x(x + 3) = 0

5x = 0

x+3 = 0

x = 0

x = -3

ответ: -3; 0

6)

Ответ дал: duisseken
0

..........................

Приложения:
Вас заинтересует