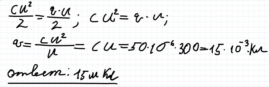
Найдите максимальный заряд, который можно сообщить конденсатору,
если он рассчитан на напряжение 300В его емкость 50 мкФ.
Ответы
Ответ дал:
0
не помню решения но у нас была такая задачка ответ будет 15 мКл
Ответ дал:
0
****************************************
Приложения:

Ответ дал:
0
если не ясно, то.......................................................... думайте
Вас заинтересует
2 года назад
2 года назад
3 года назад
3 года назад
8 лет назад