• Предмет: Алгебра
  • Автор: kristinamilishkevich
  • Вопрос задан 8 лет назад

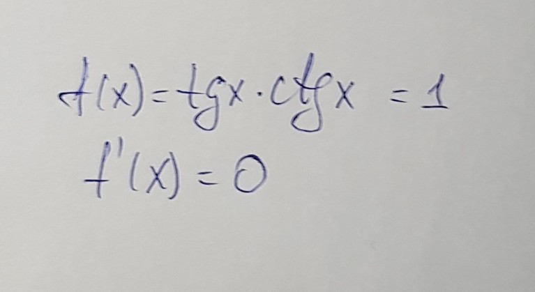
Найти производные функции
f(x) =tgx×ctgx

Ответы

Ответ дал: 1233090
0

решение задания смотри на фотографии

Приложения:
Вас заинтересует