Ответы
Ответ дал:
0
!!!!!!!!!!!!!!!!!!!!!!
Приложения:


Ответ дал:
0
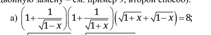
Помогите пожалуйста решить. задание по ссылке https://znanija.com/task/32035401
Вас заинтересует
2 года назад
3 года назад
3 года назад
8 лет назад
8 лет назад
9 лет назад