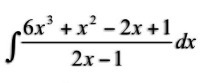
вычислить интеграл, выделив целую часть дроби и разложив интеграл на сумму более простых интегралов
Приложения:

Ответы
Ответ дал:
0
Вас заинтересует
2 года назад
2 года назад
8 лет назад