• Предмет: Математика
  • Автор: kirillromanov2013
  • Вопрос задан 8 лет назад

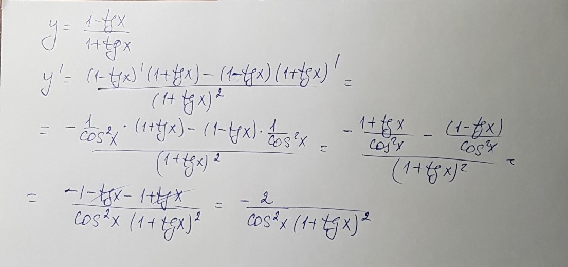
найти производную функции y = 1 - tg x / 1 + tg x

Приложения:

Ответы

Ответ дал: 1233090
0

решение задания смотри на фотографии

Приложения:
Вас заинтересует