• Предмет: Алгебра
  • Автор: baharovskaya
  • Вопрос задан 8 лет назад

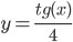
Найдите производную функции f(x)=tg x/4

Ответы

Ответ дал: naomitao
0

Поскольку (c*f(x))' = c*f(x)', то полученную производную, домножим затем на 1/4.  

Решение: (картинка 2)

Помой му так..

Приложения:
Ответ дал: naomitao
0
https://math.semestr.ru/math/diff.php

тут решила
Вас заинтересует