• Предмет: Алгебра
  • Автор: DISP12345
  • Вопрос задан 8 лет назад

Помогите пожалуйста решить. Очень срочно.

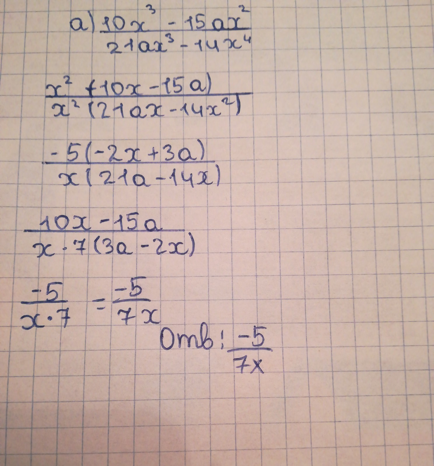
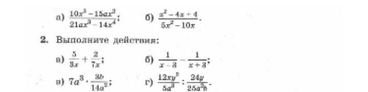
Приложения:

Ответы

Ответ дал: elvira00533
0
............................
Приложения:
Ответ дал: DISP12345
0
в задании а и б, цифра 3 а не 8
Вас заинтересует