• Предмет: Алгебра
  • Автор: evgeniya007
  • Вопрос задан 11 лет назад

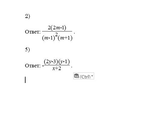
помогите 2 задание и 5 это срочно, желательно только ответы

Приложения:

Ответы

Ответ дал: triolana
0
=============================================
Приложения:
Вас заинтересует