• Предмет: Математика
  • Автор: barannik1901yulechka
  • Вопрос задан 8 лет назад

Мне нужно полное объяснение задачи, так как записывают в школе

Приложения:

Ответы

Ответ дал: parus77
0

Ответ:

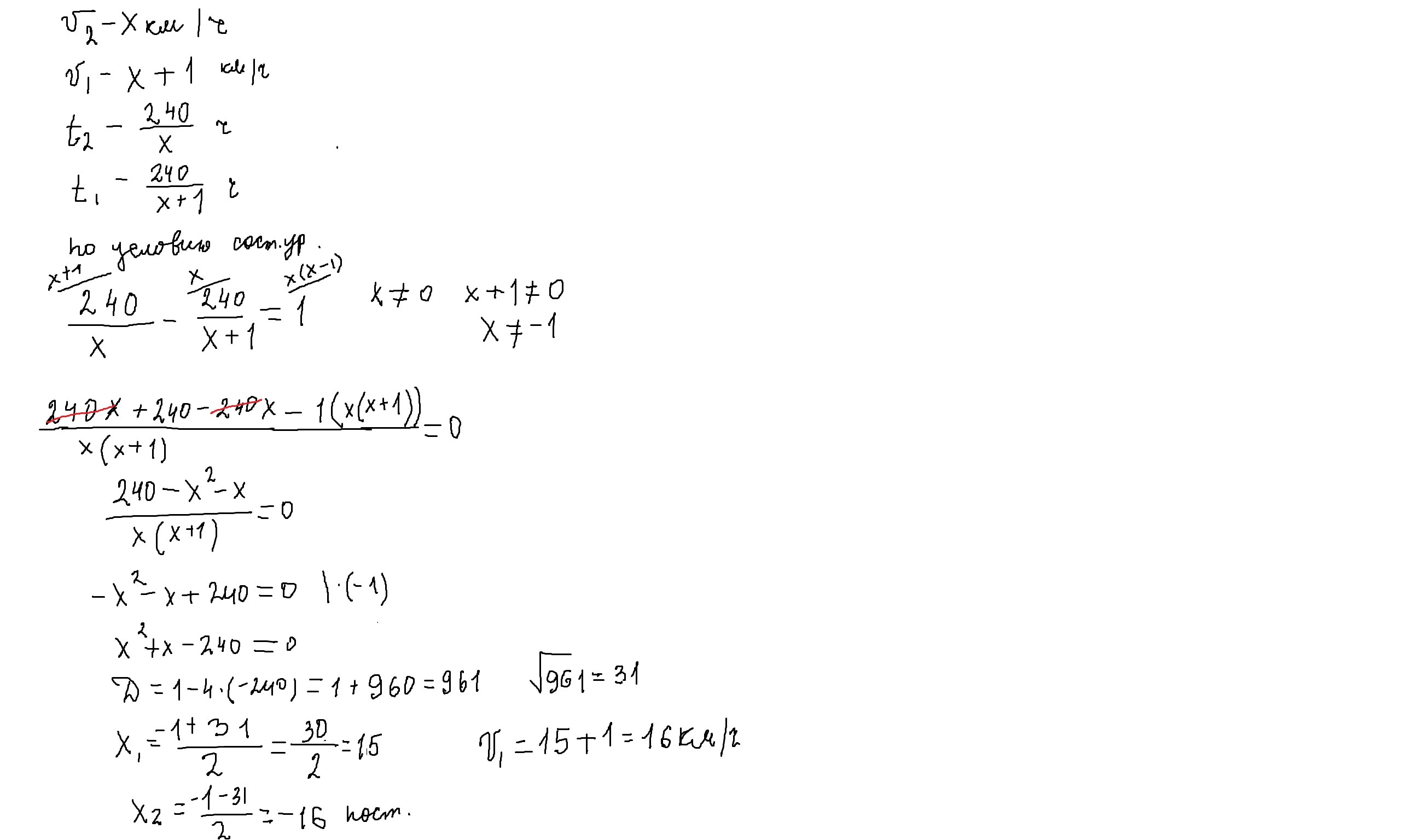
решение смотри внизу   .поясню обозначения

v₁- скорость 1 велосипедиста

v₂-скорость 2 велосипедиста

t₁-время в пути 1 велосипедиств

t₂-время в пути 2 велосипедиста

т.к 2 велос. провел в пути времени больше,чем 1 то сост. уравнение

Приложения:
Вас заинтересует