ПОЖАААААААААААЛУЙСТА УМОЛЯЮ СРОЧНО НУЖНО ДАЮ 90
вычислите применяя формулы сокращенного умножения:
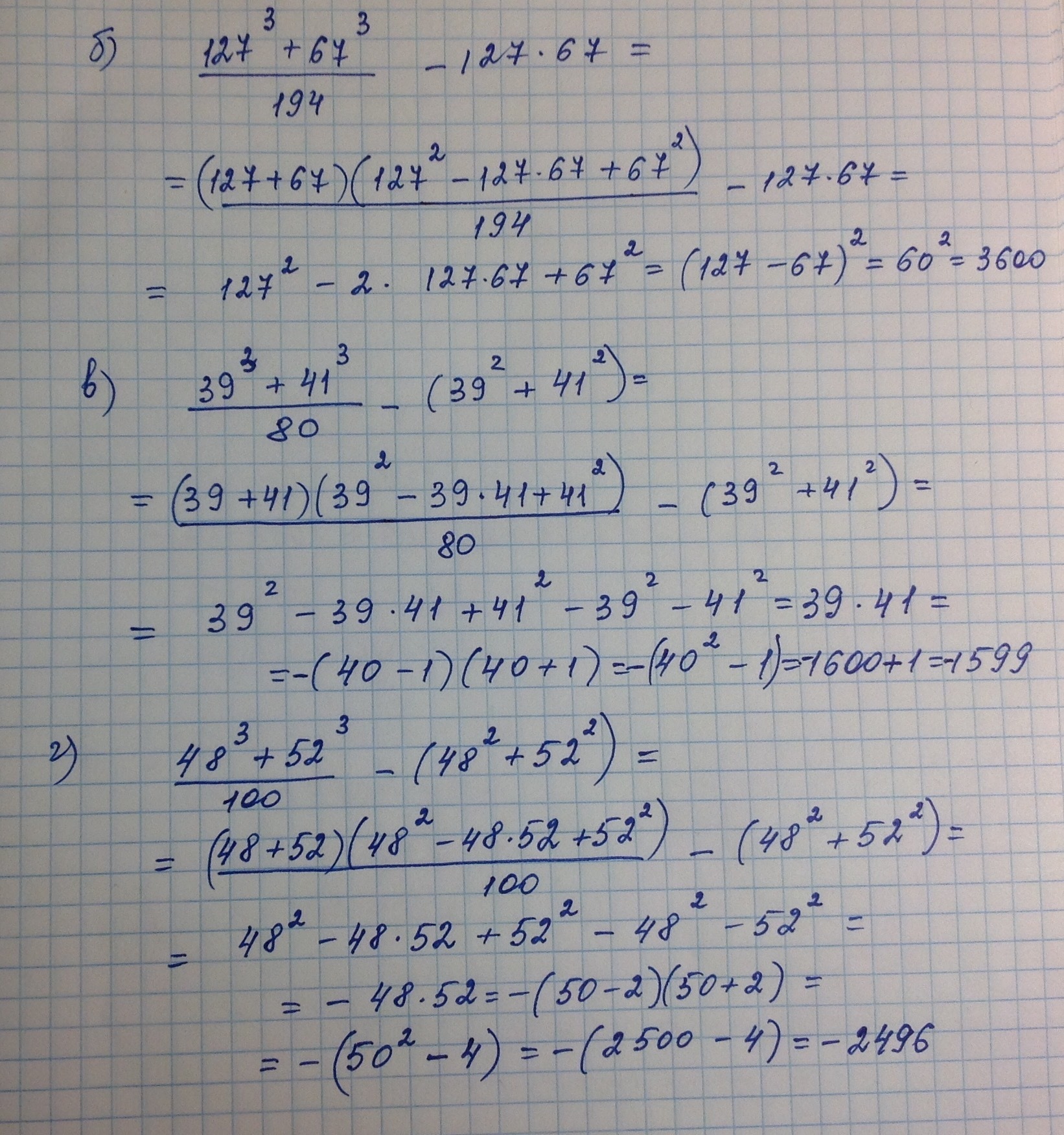
б) 127³ + 67³/194 - 127*67
в) 39³+41³/80 - (39²+41²)
г) 48³+52³/100 - (48²+52²)
Ответы
Ответ дал:
0
Ответ на фото////////////////////
Приложения:

Ответ дал:
0
ok. thanks )))))))))))))))))))...................
Вас заинтересует
2 года назад
2 года назад
3 года назад
8 лет назад
9 лет назад