• Предмет: Алгебра
  • Автор: 20melnikovakatrina04
  • Вопрос задан 8 лет назад

ДАМ 15 БАЛЛОВ
Вариант 1.
Обязательная часть.
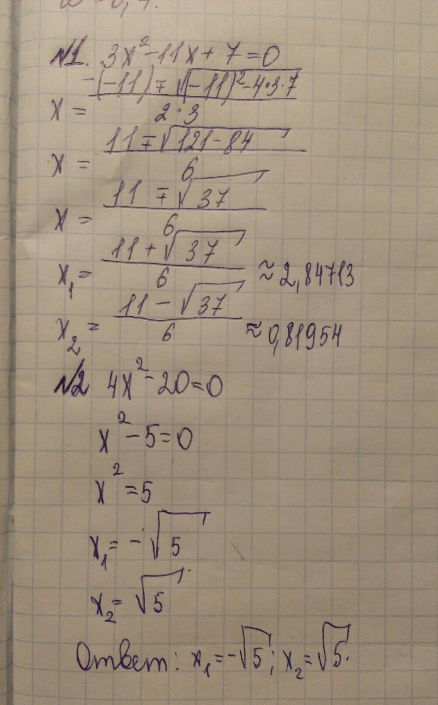
№1. Определите, имеет ли корни уравнение, и если имеет, то сколько: 3х2 – 11х + 7 = 0. Решите уравнение (2 – 5):
№2. 4х2 -20 = 0
№3. 2х + 8х2 = 0
№4. 2х2 -7х + 6 = 0
№5. х2 –х = 2х - 5
№6. Разложите, если возможно, на множители: х2 -2х – 15.
№7. Площадь прямоугольника 96 см2. Найдите его стороны, если одна из них на 4 см меньше другой. Дополнительная часть.
№8. Решите уравнение х4 – 3х2 – 4 = 0.
№9. При каком значении р в разложении на множители многочлена х2 + рх – 10 = 0 содержится множитель х – 2 = 0?
№10. Сумма квадратов двух последовательных натуральных чисел на 91 больше их произведения. Найдите эти числа.
Вариант 2.
Обязательная часть.
№1. Определите, имеет ли корни уравнение, и если имеет, то сколько: 6х2 – 5х + 2 = 0.
Решите уравнение (2 – 5):
№2. 18 - 3х2 = 0
№3. 5х2 - 3х = 0
№4. 5х2 -8х + 3 = 0
№5. х2-х:6=2
№6. Разложите, если возможно, на множители: х2 + 9х – 10.
№7. Произведение двух натуральных чисел равно 273. Найдите эти числа, если одно из них на 8 больше другого.
Дополнительная часть
№8. Решите уравнение х3 + 4х2 – 21х = 0.
№9. Найдите все целые значения р, при которых уравнение х2 – рх - 10 = 0 имеет целые корни.
№10. Чтобы выложить пол в ванной комнате, потребуется 180 маленьких квадратных плиток или 80 больших. Сторона большой плитки на 5 см больше стороны маленькой. Какова площадь пола, который собираются покрыть плиткой?

Ответы

Ответ дал: Helpnika
0

1,2,3,4,5,6 номера сделаны

Приложения:
Вас заинтересует