• Предмет: Математика
  • Автор: pro100blich45
  • Вопрос задан 8 лет назад

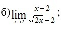
Предел функции. Прошу расписать (на листочке будет самое то). Ответы без решения не принимаются.

Приложения:

Ответы

Ответ дал: mostvit
0

Ответ:

Пошаговое объяснение:

Приложения:
Вас заинтересует