Даю много баллов! Главное решите, проверку я сама сделаю!
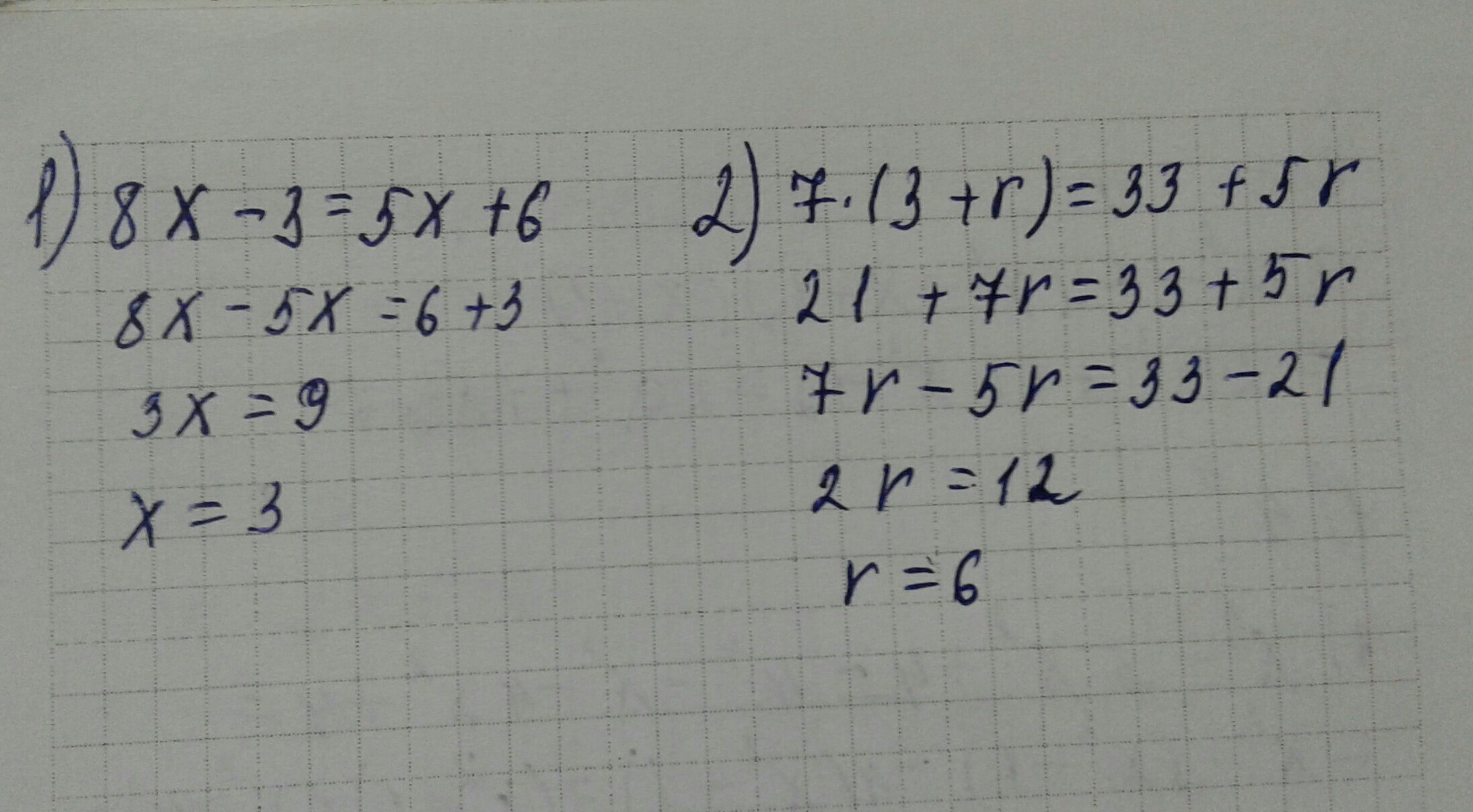
8x-3 = 5x+6
7×(3+r) = 33+5r
3b-2+6b-8b=10
Пожалуйста!
Ответы
Ответ дал:
0
Ответы на рисунках
..........
..........
Приложения:
Ответ дал:
0
8x-3=5x+6
8x-5x=3+6
3x=9
x=9:3
x=3
Вот так
8x-5x=3+6
3x=9
x=9:3
x=3
Вот так
Приложения:
Вас заинтересует
2 года назад
2 года назад
3 года назад
9 лет назад
10 лет назад