Ответы
Ответ дал:
0
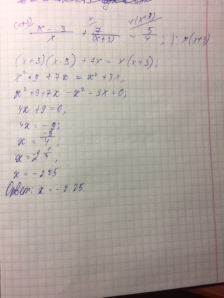
Держи. Сори за почерк, надеюсь все понятно. Легкое уравнение)
Если чего не понятно - пиши.
Приложения:

Вас заинтересует
3 года назад
3 года назад
8 лет назад
9 лет назад