Ответы
Ответ дал:
0
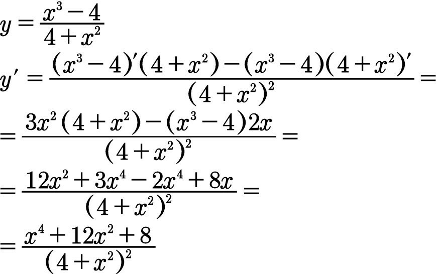
Решение на фотографии. При решение использовании правило нахождения производной частного.
Приложения:

Вас заинтересует
2 года назад
2 года назад
3 года назад
3 года назад
8 лет назад
9 лет назад