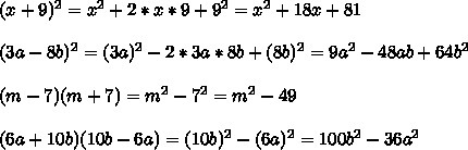
1. Представьте в виде многочлена выражение: 1) (x + 9) 2; 3) (m − 17)(m + 17); 2) (3a − 8b) 2; 4) (6a + 10b)(10b − 6a).
2. Разложите на множители: 1) c2 − 100; 3) 25y2 − 49; 2) x2 − 4x + 4; 4) 36a2 − 60ab + 25b2.
3. Упростите выражение: (x + 3)(x − 3) − (x − 4)2.
4. Решите уравнение: (5x − 1)(x + 2) + 3(x − 4)(x + 4) = 2(2x + 3)2 − 8.
5. Представьте в виде произведения выражение: (3a − 1)2 − (a + 2)2.
6. Упростите выражение (a − 6)(a + 6)(36 + a2) − (a2 − 18)2 и найдите его значение при a = . 7. .
Ответы
Ответ дал:
0
я считаю так)вхвхвхвхвхвхвхв
Приложения:

Вас заинтересует
2 года назад
3 года назад
8 лет назад
8 лет назад