• Предмет: Математика
  • Автор: nedoem
  • Вопрос задан 8 лет назад

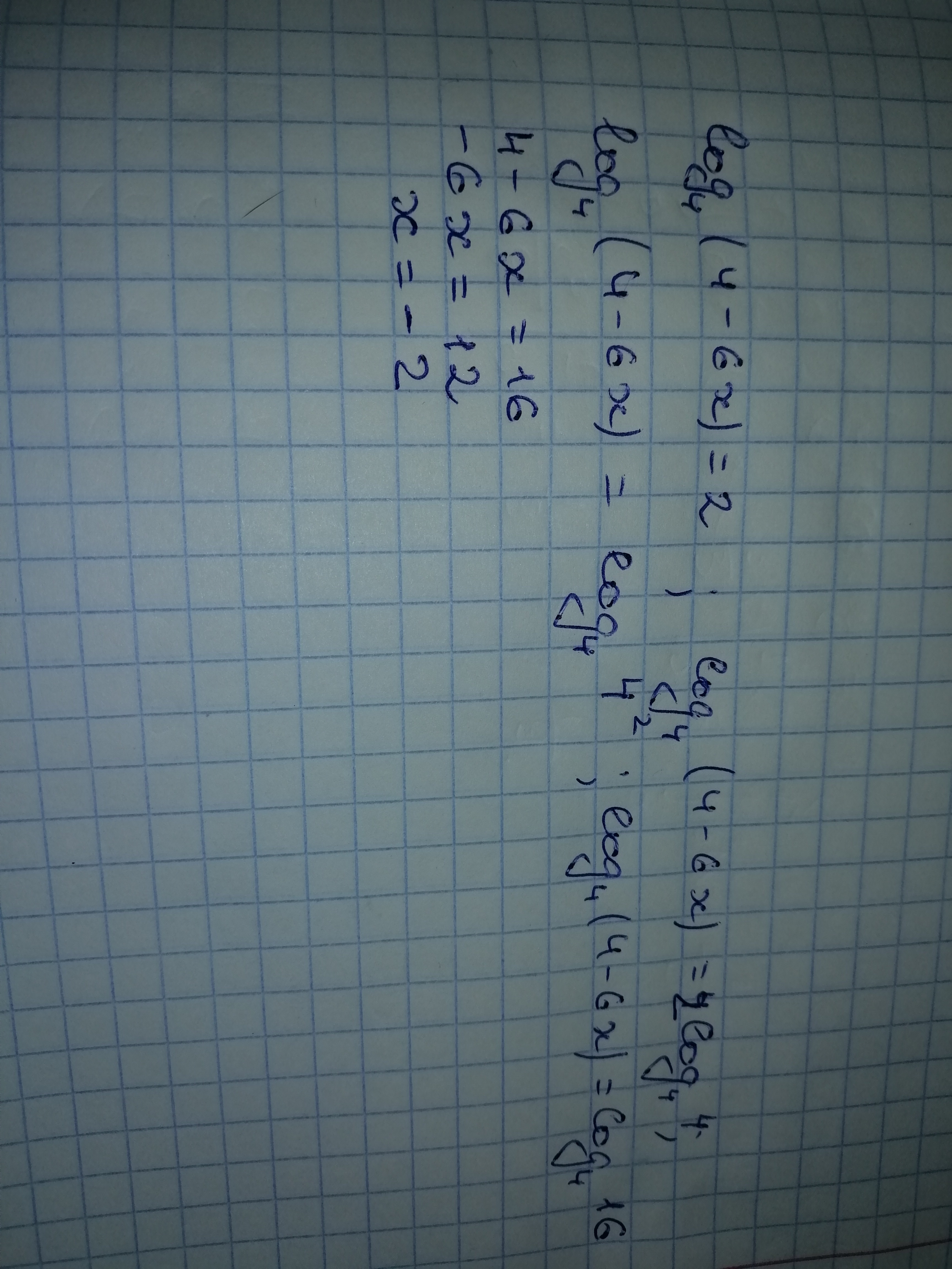
Log4 (4-6x)=2
Решите пожалуйста

Ответы

Ответ дал: ilyukhin2102
0

Ответ:

-2

Пошаговое объяснение:

4 - 6x = 4^2

4 - 6x = 16

6x = -12

x = -2

Ответ дал: 0968544401k
0

Ответ:

Пошаговое объяснение:

Приложения:
Вас заинтересует