• Предмет: Алгебра
  • Автор: gsdsjisdhji
  • Вопрос задан 8 лет назад

Значение линейной функции

Приложения:

Ответы

Ответ дал: alex000xela
0
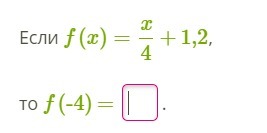
f(-4)=(-4/4)+1.2=-1+1.2=0.2
Ответ:0.2
Вас заинтересует