• Предмет: Математика
  • Автор: boriskuptsov333000
  • Вопрос задан 8 лет назад

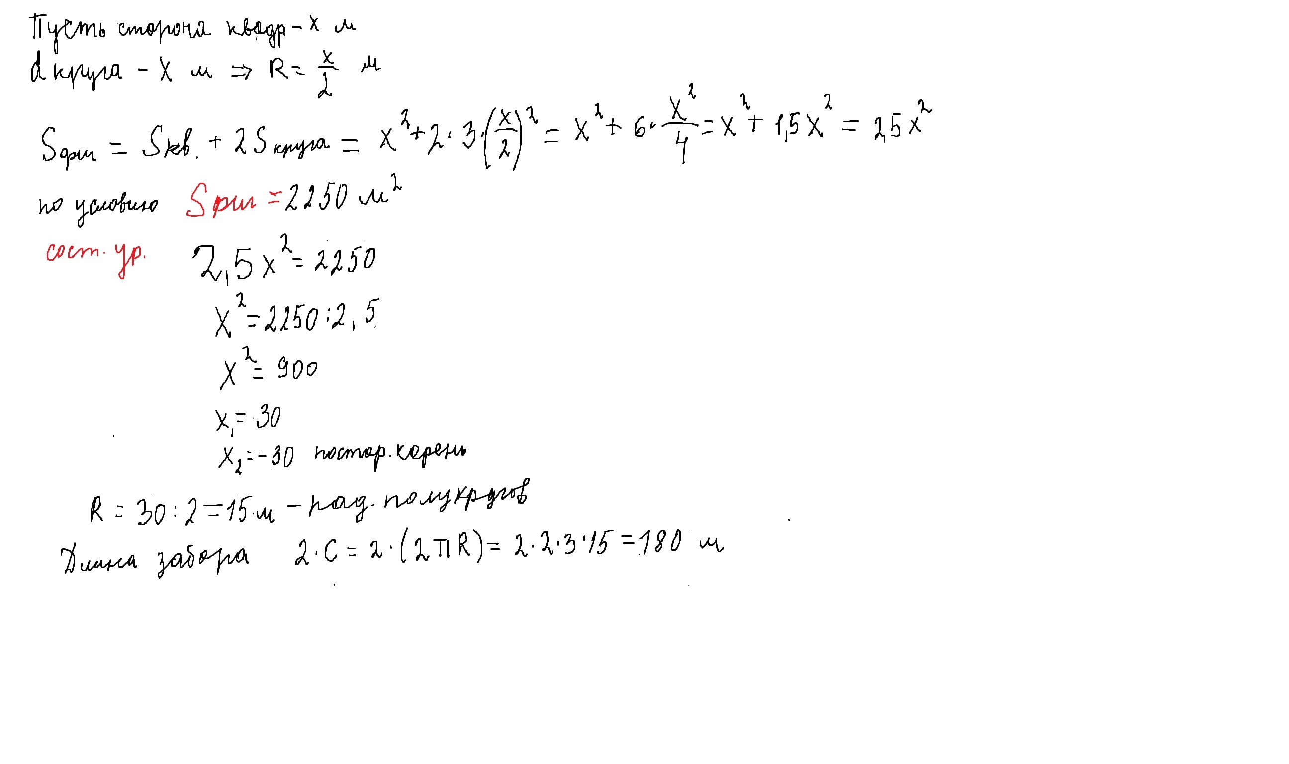
На дворе была сделана цветочная клумба, образованная из квадрата и четырёх полукругов.
Площадь клумбы приблизительно равна 2250 м²
1. Какова длина стороны квадрата?
м.

2. Какова длина радиуса полукругов?
м.

3. Какова длина декоративного забора?
м.

Ответы

Ответ дал: parus77
0

Ответ:

Ответ: сторона квадрата -30м

длина радиуса  полукругов -15 м

длина забора- 180м

Фигура состоит из квадрата и 4 полукругов,площадь которых в сумме равна площади 2 кругов

решение смотри внизу

Приложения:
Вас заинтересует