Ответы
Ответ дал:
0
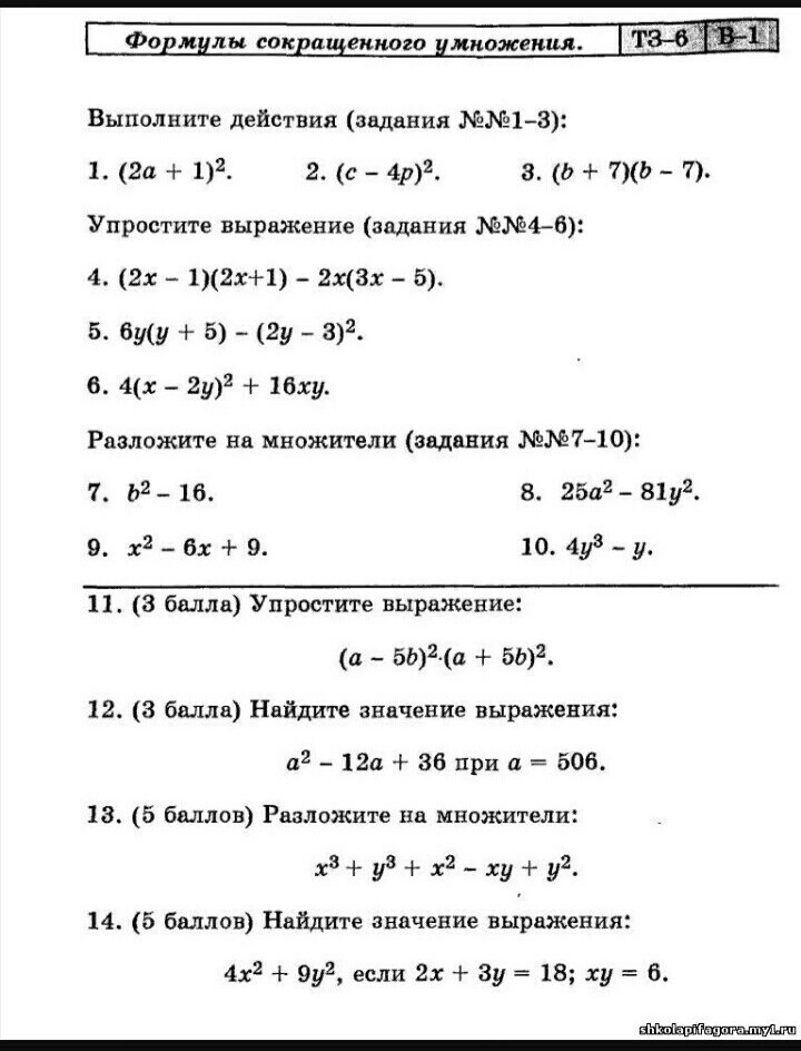
1)4a2+4a+1
2)c2-8pc+16p2
3)b2-49
номер2
4)4x2-1-6x-10x=4x2-1-16x
5)6y2+30y-4y2+12y-9
6)4(x2-4xy+4y2)+16xy=4x2-16xy+16y2+16xy=4x2+16y2
2)c2-8pc+16p2
3)b2-49
номер2
4)4x2-1-6x-10x=4x2-1-16x
5)6y2+30y-4y2+12y-9
6)4(x2-4xy+4y2)+16xy=4x2-16xy+16y2+16xy=4x2+16y2
Ответ дал:
0
спасибо огромное^ω^
Вас заинтересует
2 года назад
3 года назад
3 года назад
9 лет назад
9 лет назад
10 лет назад