• Предмет: Алгебра
  • Автор: rodionrodionovich05
  • Вопрос задан 8 лет назад

Какие есть формулы сокращённого умножения дам 30 балов

Ответы

Ответ дал: svetlankakorepanova
0

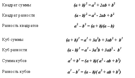
ДЕРЖИИИИ И ВЫУЧИ ИХ ОБЯЗАТЕЛЬНООООО!!!!!!

Приложения:
Ответ дал: svetlankakorepanova
0
напиши мне в сообщения,о чем это произведение, я просто не помню о чем оно
Ответ дал: rodionrodionovich05
0
давай попоздней ща я на кухне помогу родителям и напишу
Ответ дал: svetlankakorepanova
0
го в вк, мне так удобней мой айди: svetlankakakaka
Ответ дал: rodionrodionovich05
0
Я в вк не сижу отобрали
Ответ дал: rodionrodionovich05
0
могу в почте в однокласниках
Вас заинтересует