• Предмет: Геометрия
  • Автор: Дин2680
  • Вопрос задан 8 лет назад

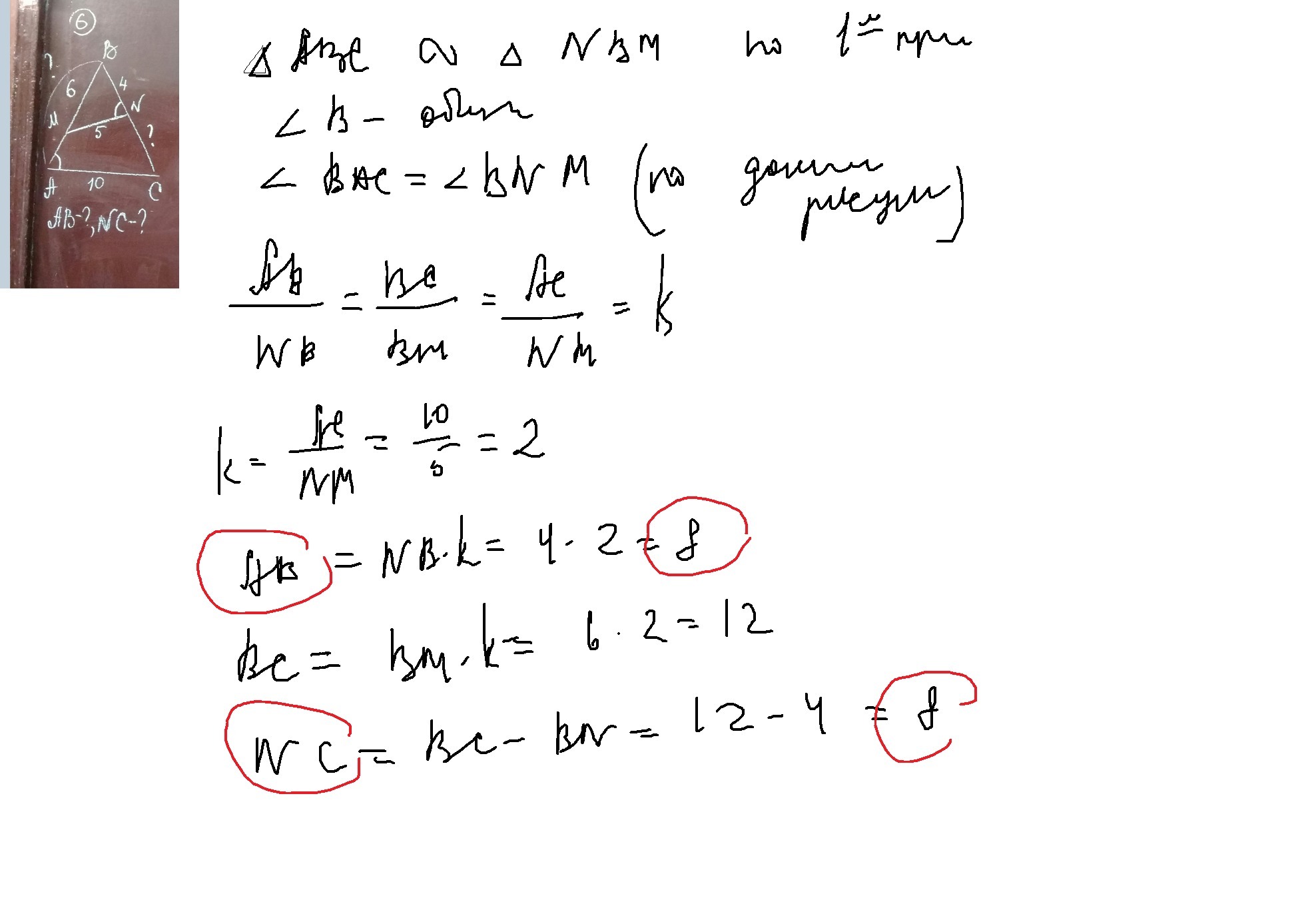
Задания по геометрии...номера 5 и 6...СРОЧНО

Приложения:

Ответы

Ответ дал: vikll
0

Задания по геометрии...номера 5 и 6...

Приложения:
Вас заинтересует