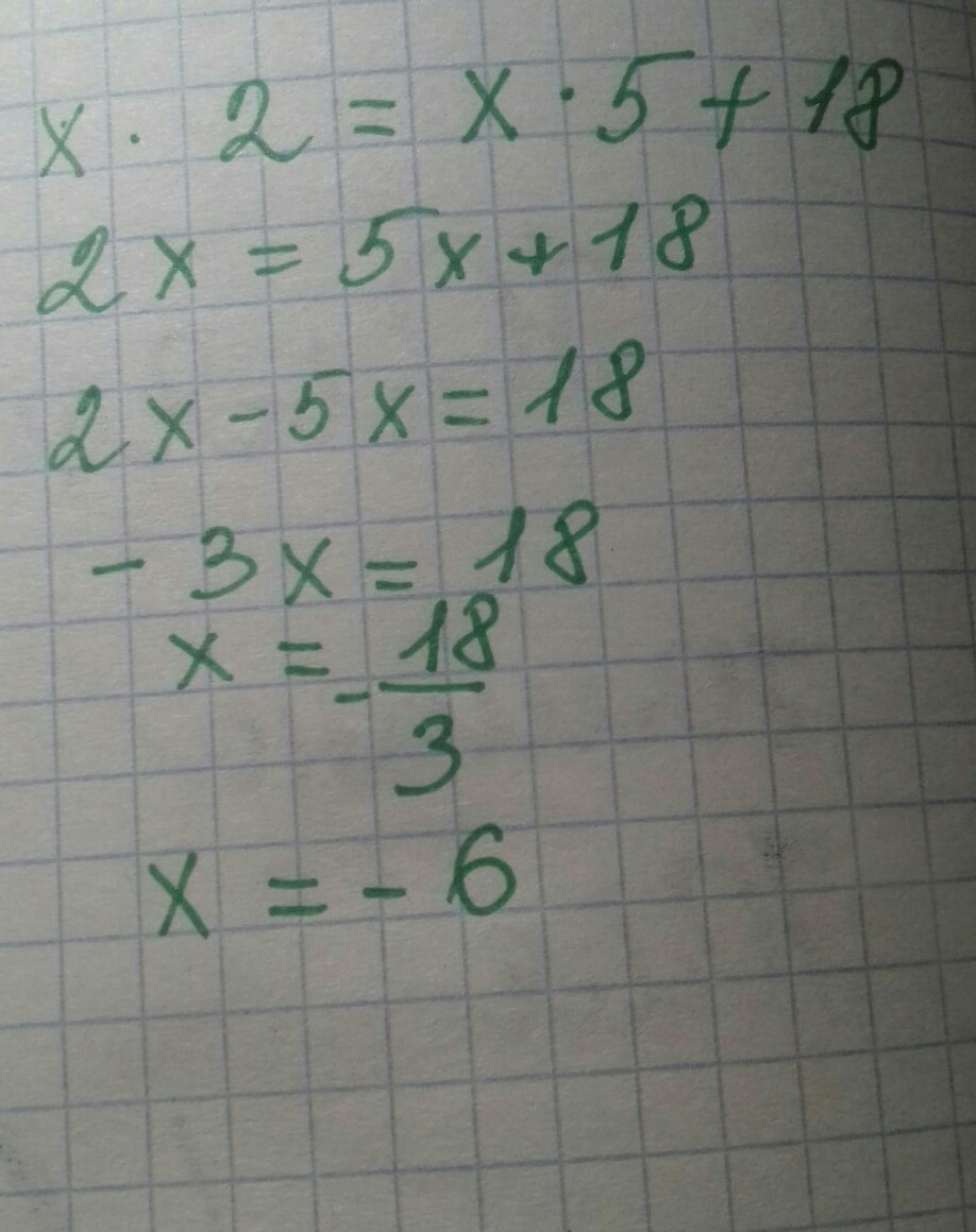
Если удвоить число, то результат будет равен этому числу, умноженному на 5 плюс 18. Что это за число?
Ответы
Ответ дал:
0
............................
Приложения:

Ответ дал:
0
СПАСИБО!
Вас заинтересует
2 года назад
2 года назад
3 года назад
8 лет назад
8 лет назад
9 лет назад