• Предмет: Математика
  • Автор: cugajnovairina090
  • Вопрос задан 8 лет назад

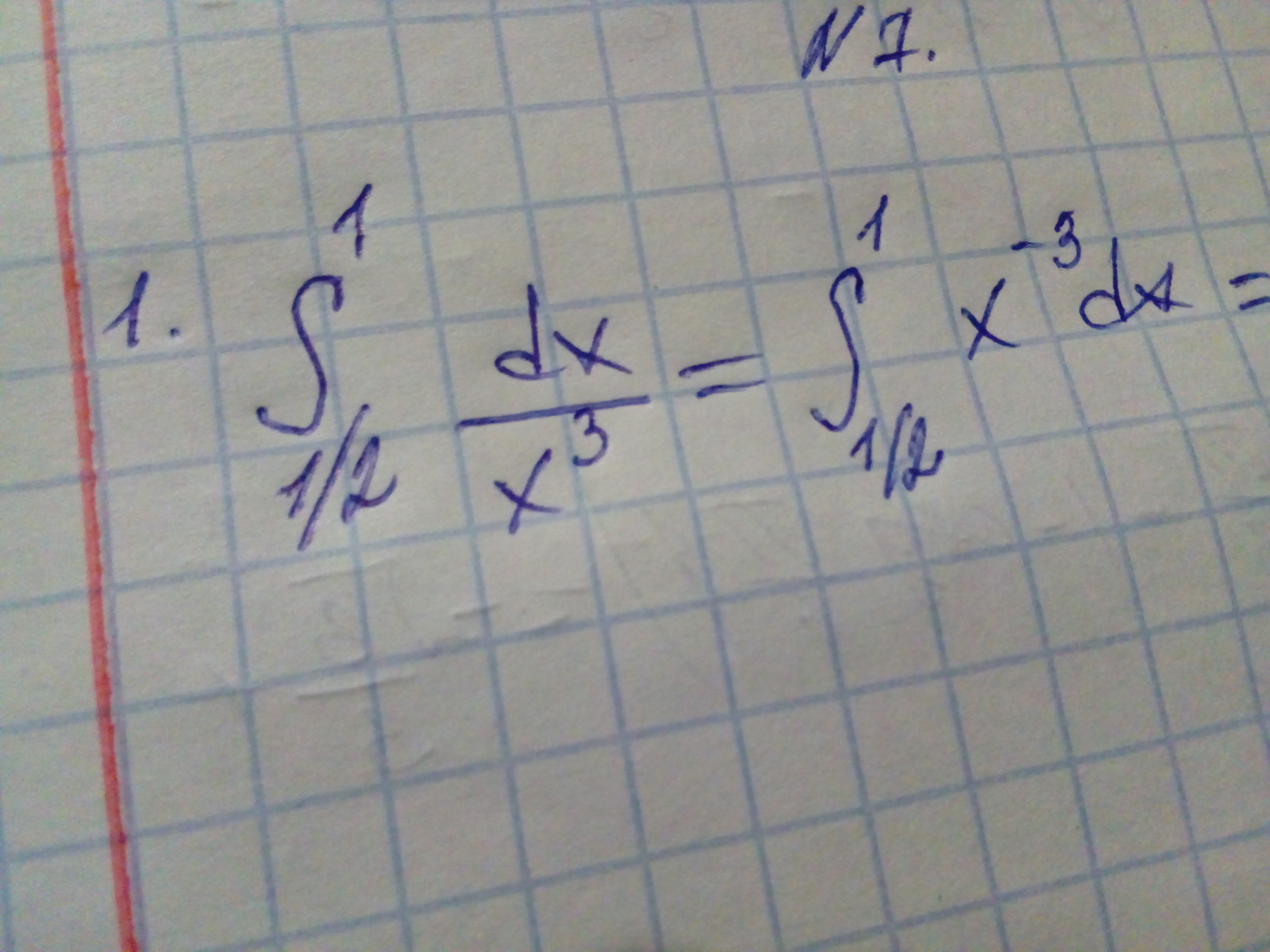
решите пожалуйста, интеграл вверху 1 внизу 1/2 dx/x^3=?

Приложения:

Ответы

Ответ дал: IrkaShevko
0

Ответ:

1,5

Пошаговое объяснение:

= (x⁻²)/(-2) |(от 1/2 до 1) = -1/(2х²) |(от 1/2 до 1) = -1/2 + 1/(2*1/4) = -1/2 + 2 = 1,5

Вас заинтересует