Ответы
Ответ дал:
0
Ответ:
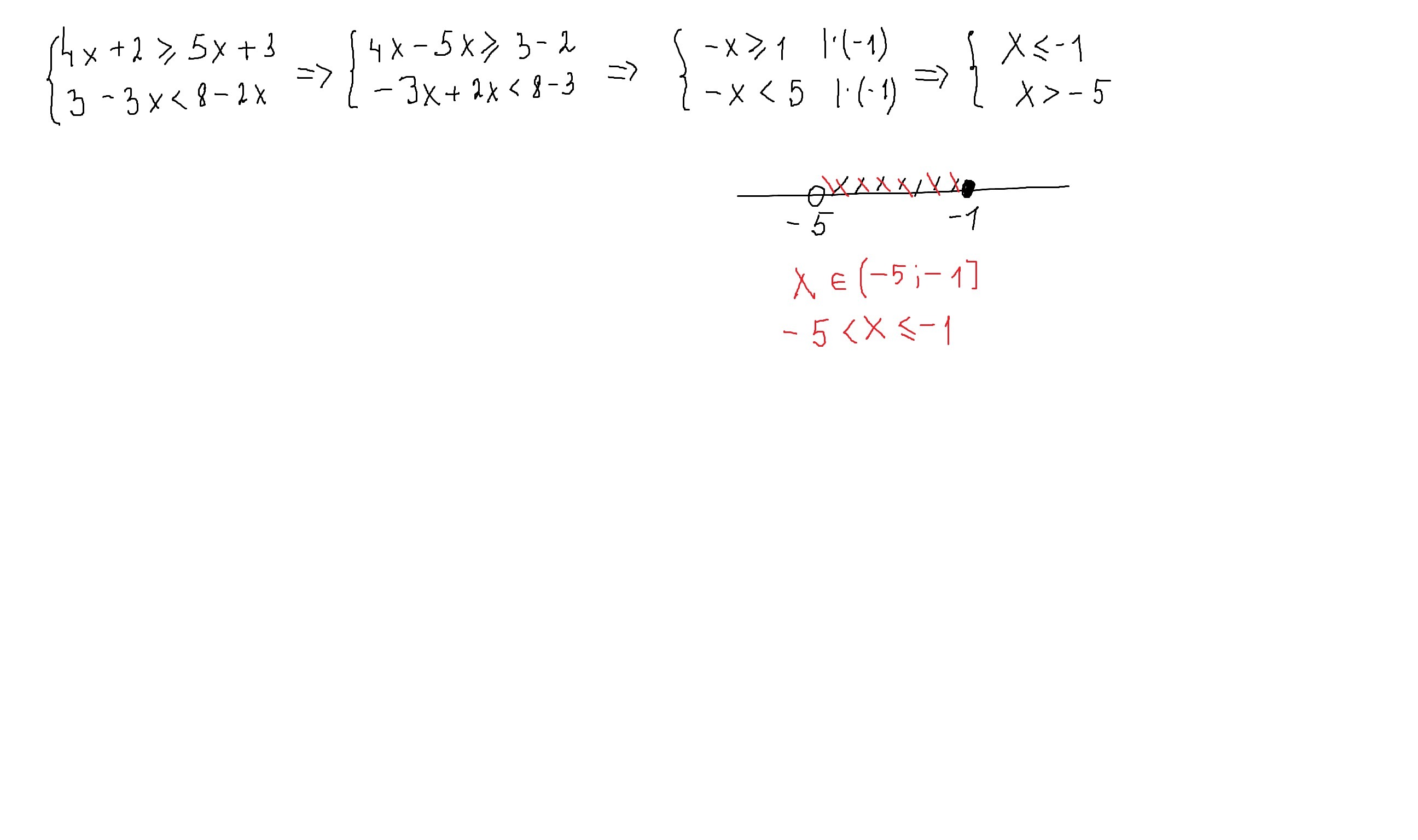
смотри решение внизу
Приложения:

Ответ дал:
0
спасибооо
Ответ дал:
0
не за чтоооооо
Вас заинтересует
2 года назад
2 года назад
3 года назад
8 лет назад
8 лет назад
9 лет назад