помогите решить пожалуйста!!!!!!!!!!
полное решение!!!!
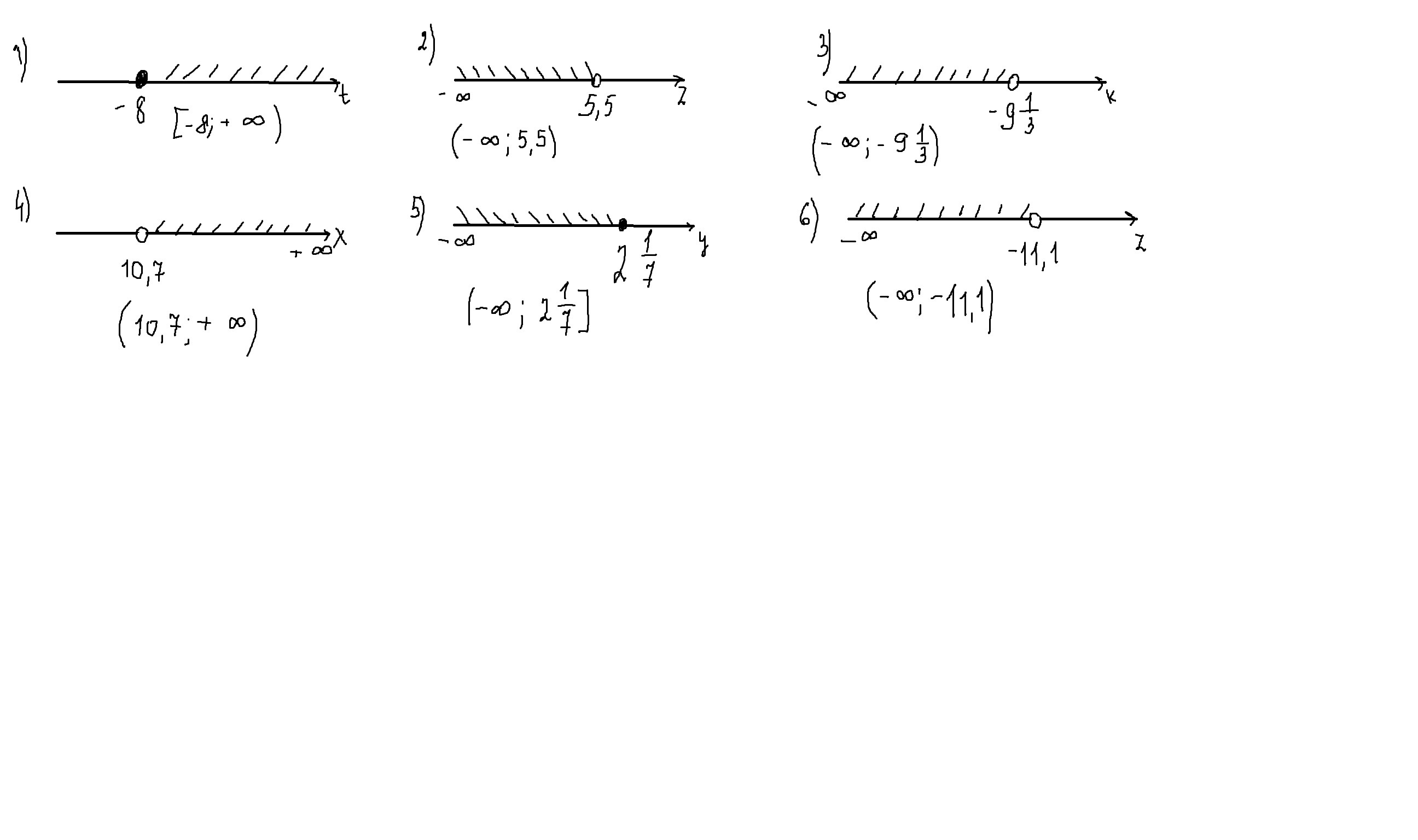
Задание: изобразить на координатных прямых решений неравенств.
Приложения:

Ответы
Ответ дал:
0
Ответ:
Пошаговое объяснение:
Приложения:

Ответ дал:
0
Ответ:
если неравенство строгое(х<5) то скобка круглая и точка не закрашена
если неравенство нестрогое (х≤ 5) то скобка квадратная и точка закрашена
Приложения:

Вас заинтересует
2 года назад
2 года назад
3 года назад
3 года назад
9 лет назад
9 лет назад