• Предмет: Математика
  • Автор: akberova956oy177q
  • Вопрос задан 8 лет назад

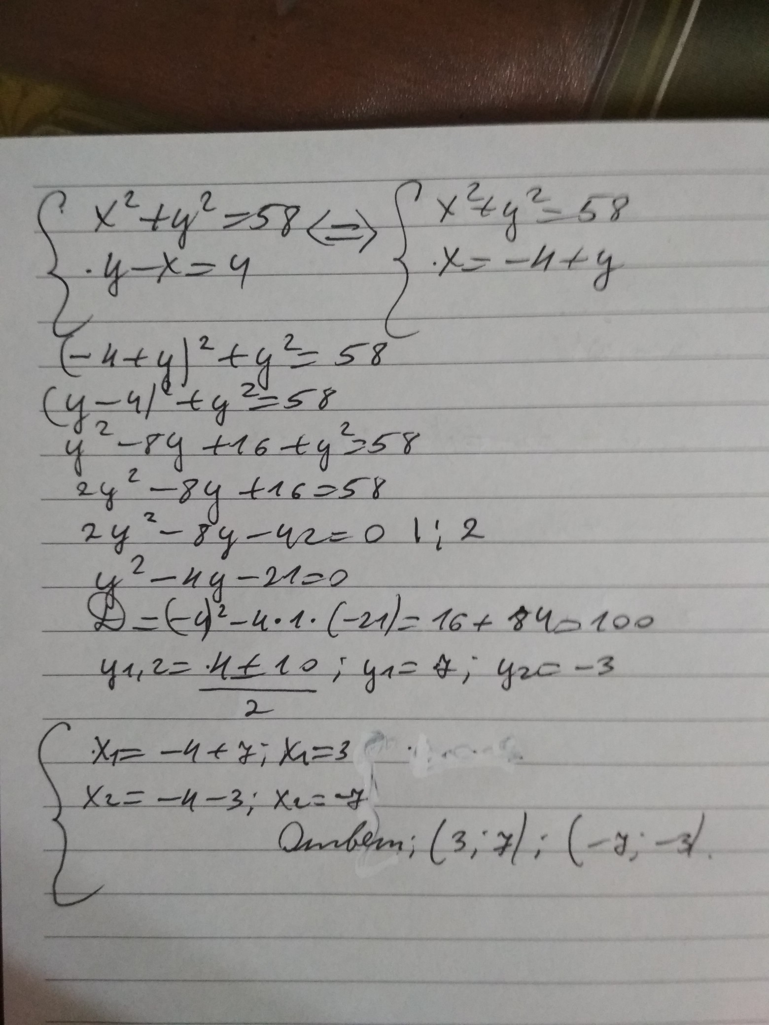
Решите систему уравнений ,пожалуйста
x2+y2=58,y-x=4

Ответы

Ответ дал: ZLOYTIGROVSKIY
0
*****TIGROVSKIY*****
Приложения:
Ответ дал: akberova956oy177q
0
Спасибо вам большое)
Вас заинтересует