• Предмет: Математика
  • Автор: imanoviman116
  • Вопрос задан 8 лет назад

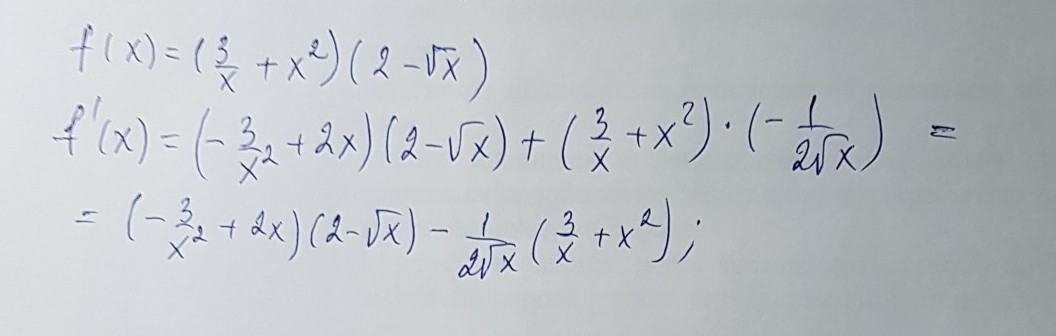
F'(x)=(3/x+x^2)(2-√x) найти производную

Ответы

Ответ дал: 1233090
0

решение задания смотри на фотографии

Приложения:
Вас заинтересует