Ответы
Ответ дал:
0
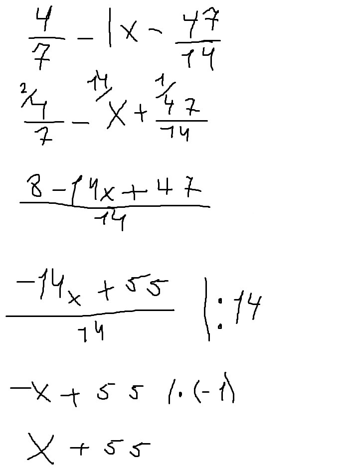
4/7 - |x - 47/14|
надо раскрыть модуль
по определению модуля |x| = x при x>=0
-x при x<0
1. x>47/14 |x-47/14| = x - 47/14
4/7 - |x - 47/14| = 4/7 - (x - 47/14) = 8/14 - x + 47/14 = 55/14 - x
2. x=47/14
4/7 - |x - 47/14| = 4/7
3. x<47/14 |x - 47/14| = 47/14 - x
4/7 - |x - 47/14| = 8/14 - (47/14 - x) = x - 39/14
Ответ дал:
0
пример расписан .......................
Приложения:

Вас заинтересует
2 года назад
2 года назад
3 года назад
3 года назад
8 лет назад
9 лет назад
9 лет назад