• Предмет: Математика
  • Автор: sjiwowksj
  • Вопрос задан 8 лет назад

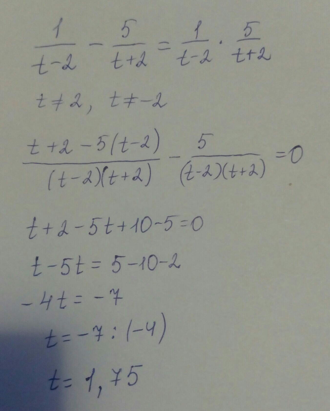
Помогите с алгеброй.

Приложения:

Ответы

Ответ дал: krisbega
0

у меня получилось t=1,75 или одна целая три четвёртых.

Приложения:
Вас заинтересует