• Предмет: Математика
  • Автор: kikii020207
  • Вопрос задан 8 лет назад

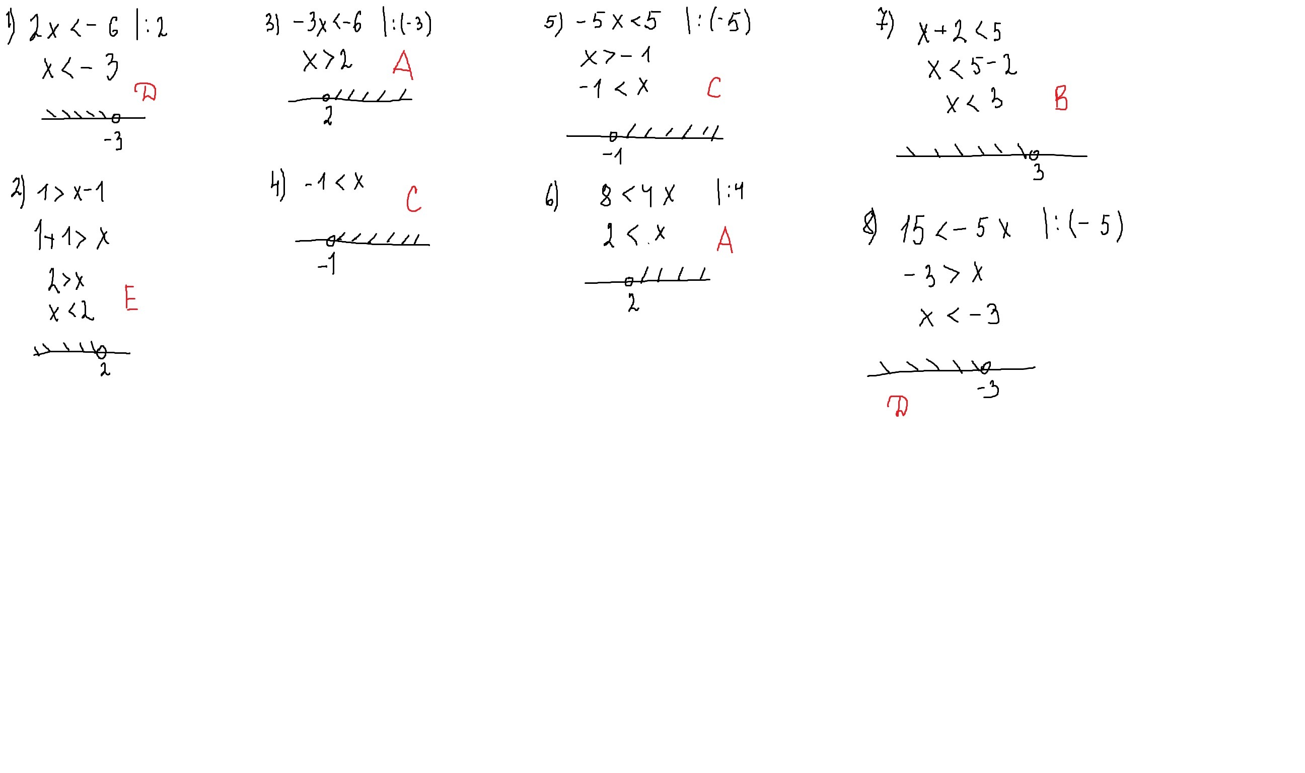
Установите соответствие между неравенствами и графическими решениями. Пажалуйста памогите решить

Приложения:

Ответы

Ответ дал: parus77
0

Ответ:

смотри решение внизу

Приложения:
Вас заинтересует