Ответы
Ответ дал:
0
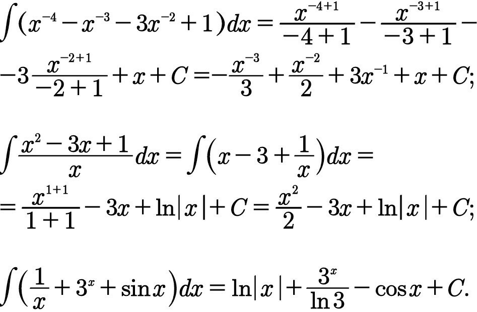
Решение на фотографии.
Во всех интегралах использовали табличные интегралы. В интеграла под 2) сначала сделали преобразование - почленное деление.
Во всех интегралах использовали табличные интегралы. В интеграла под 2) сначала сделали преобразование - почленное деление.
Приложения:

Ответ дал:
0
Приложения:

Вас заинтересует
2 года назад
2 года назад
3 года назад
8 лет назад
8 лет назад
9 лет назад