Ответы
Ответ дал:
0
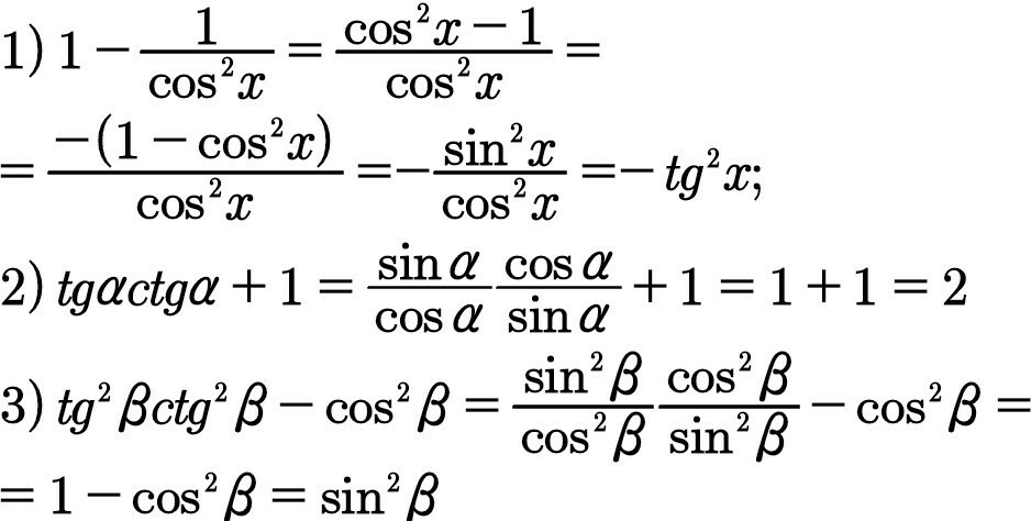
Решение на фотографии.
При решении использовали определение тангенса/котангенса и основное тригонометрическое тождество.
При решении использовали определение тангенса/котангенса и основное тригонометрическое тождество.
Приложения:

Вас заинтересует
2 года назад
2 года назад
3 года назад
8 лет назад
8 лет назад