• Предмет: Математика
  • Автор: vika777878
  • Вопрос задан 8 лет назад

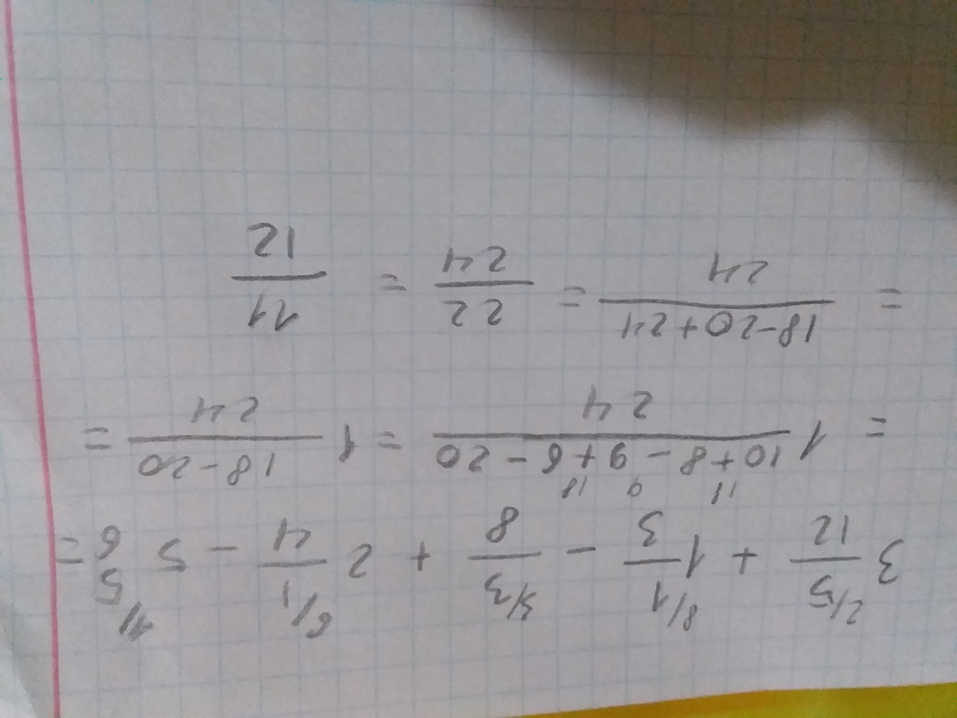
решите мне пример вычислить значение выражения, упростив запись

Приложения:

Ответы

Ответ дал: Ibanez87
0

Ответ: походу 11/12

Пошаговое объяснение:

Приложения:
Ответ дал: crecet6r
0
3 5/12+1 1/3-3/8+2 1/4+5 5/6=
=3 10/24+1 8/24-9/24+2 6/24+5 20/24=
=11 35/24=12 11/24
Приложения:
Вас заинтересует