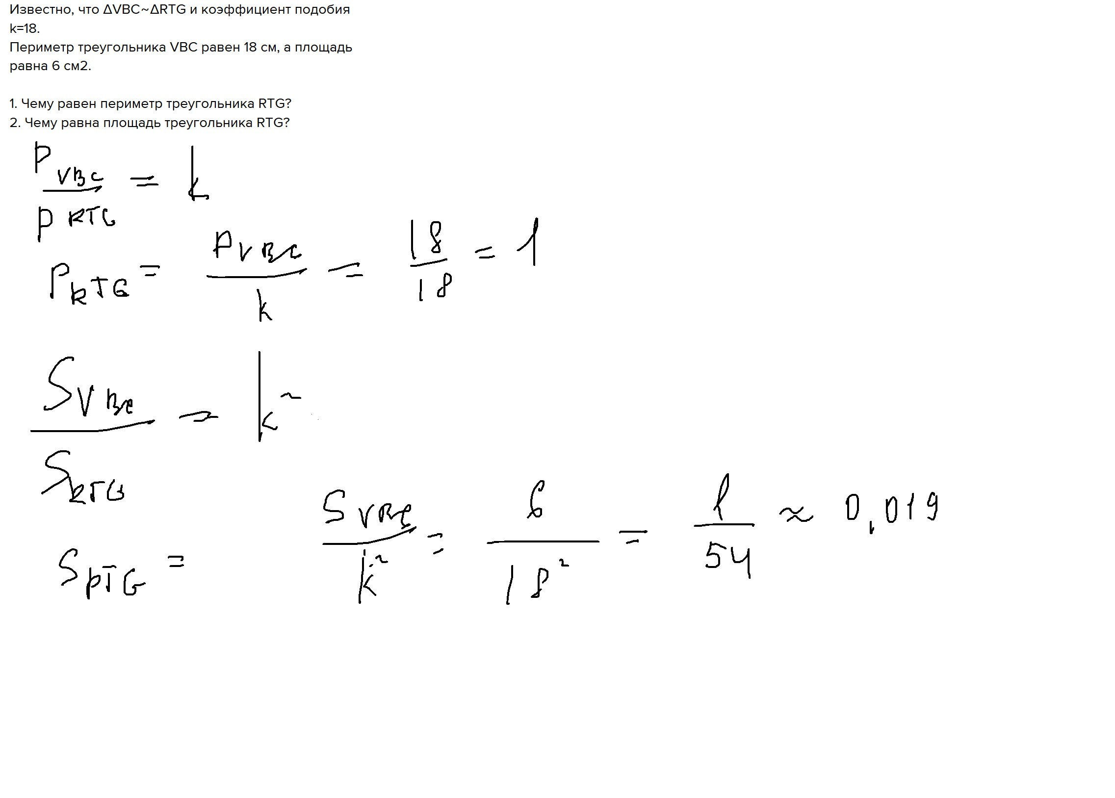
Известно, что ΔVBC∼ΔRTG и коэффициент подобия k=18.
Периметр треугольника VBC равен 18 см, а площадь равна 6 см2.
1. Чему равен периметр треугольника RTG?
2. Чему равна площадь треугольника RTG?
Ответы
Ответ дал:
0
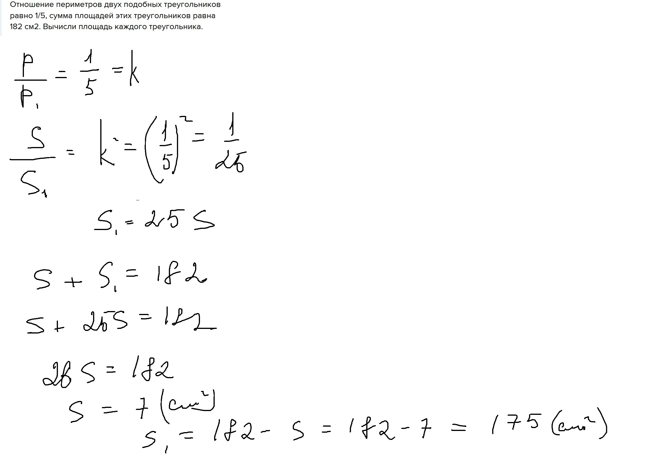
Отношение периметров двух подобных треугольников равно 1/5,
Приложения:
Вас заинтересует
2 года назад
3 года назад
3 года назад
9 лет назад
9 лет назад
10 лет назад
10 лет назад