• Предмет: Математика
  • Автор: andreyagoood
  • Вопрос задан 8 лет назад

15 БАЛЛОВ ДАЮ!!!
ПОМОГИТЕ РЕШИТЬ ПРИМЕР ОЧЕНЬ СРОЧНО!!!
ЗАРАНЕЕ СПАСИБО!!!

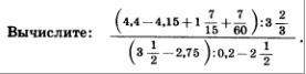
Приложения:

Ответы

Ответ дал: kruglenkonata804
0

1)22/15+7/60=(88+7)/60=95/60

2)4,4-4,15=0,25=1/4

3) 1/4+95/60=(15+95)/60=110/60

4)110/60:11/3=(110*3)/60*11=1/2=0,5

5)3,5-2,75=0,75

6)0,75:0,2=3,75

7)3,75-2,5=1,25

8)0,5:1,25=0,4

ответ примера 0,4

Ответ дал: andreyagoood
0
Не верно , у тебя!
Вас заинтересует