• Предмет: Математика
  • Автор: diiiaaanaaa
  • Вопрос задан 8 лет назад

Все на фото срочнооооо!!!!!

Приложения:

Ответы

Ответ дал: shashok12
0

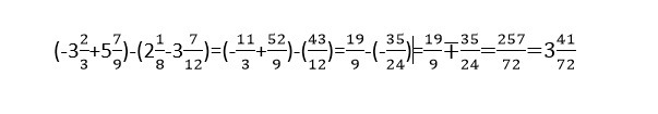
+2 1/9- (-1 11/24)=. 3 41/72

Ответ дал: vitvitskiy2015
0

Ответ:

Пошаговое объяснение:

Как-то так..

Приложения:
Вас заинтересует