Ответы
Ответ дал:
0
...........................
Приложения:

Ответ дал:
0
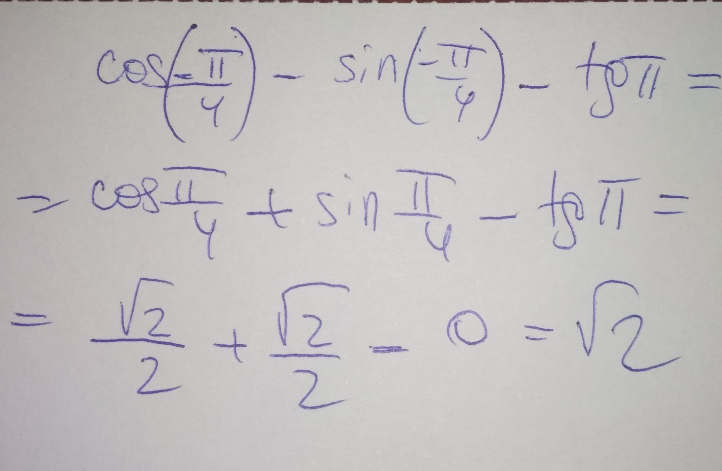
Почему Корень из 2?
Ответ дал:
0
общий знаменатель. (корень из 2)/2 + (корень из 2)/2 = (корень из 2 + корень из 3)/2= (2•корень из 2)/2= корень из 2. (двойки сокращаются)
Вас заинтересует
2 года назад
2 года назад
3 года назад
3 года назад
8 лет назад
8 лет назад
9 лет назад