• Предмет: Алгебра
  • Автор: Stikki
  • Вопрос задан 8 лет назад

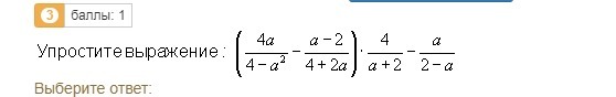
Алгебра. Упростите выражение:

Приложения:

Ответы

Ответ дал: aliyas1
0

 =   (frac{4a}{(2 - a)(2 + a)  }   +   frac{2 - a}{2(2 + a)} ) times  frac{4}{a + 2}  -  frac{a}{2 - a}  =  \  =  frac{8a + ( {2 - a})^{2} }{(2 - a)(2 + a) } times  frac{4}{a + 2}  -  frac{a}{2 - a}  =  \  =  frac{8a + 4 - 4a +  {a}^{2} }{(2 - a)(2 + a)} times  frac{4}{a + 2}  -  frac{a}{2 - a}  = \  = frac{ {a}^{2}  + 4a +  4}{(2 - a)(2 + a)} times  frac{4}{a + 2}  -  frac{a}{2 - a}  = \  = frac{ {(a + 2)}^{2} }{(2 - a)(2 + a)} times  frac{4}{a + 2}  -  frac{a}{2 - a} = \ =  frac{4}{2 - a}  -  frac{a}{2 - a}  =  frac{4 - a}{2 - a}

Вас заинтересует