• Предмет: Алгебра
  • Автор: DimaPot
  • Вопрос задан 8 лет назад

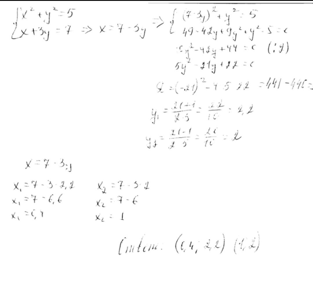
помогите решить систему уравнений {(x^(2)+y^(2)=5)
{(x+3y=7):

Ответы

Ответ дал: lizkiss2007
0

Не знаю правильно ли это. Думаю что да

Приложения:
Ответ дал: DimaPot
0
всеравно спосибо за оперативность
Ответ дал: DimaPot
0
а поможеш решить еще одно задание {x-2y=1,xy+y=12}
Вас заинтересует