Ответы
Ответ дал:
0
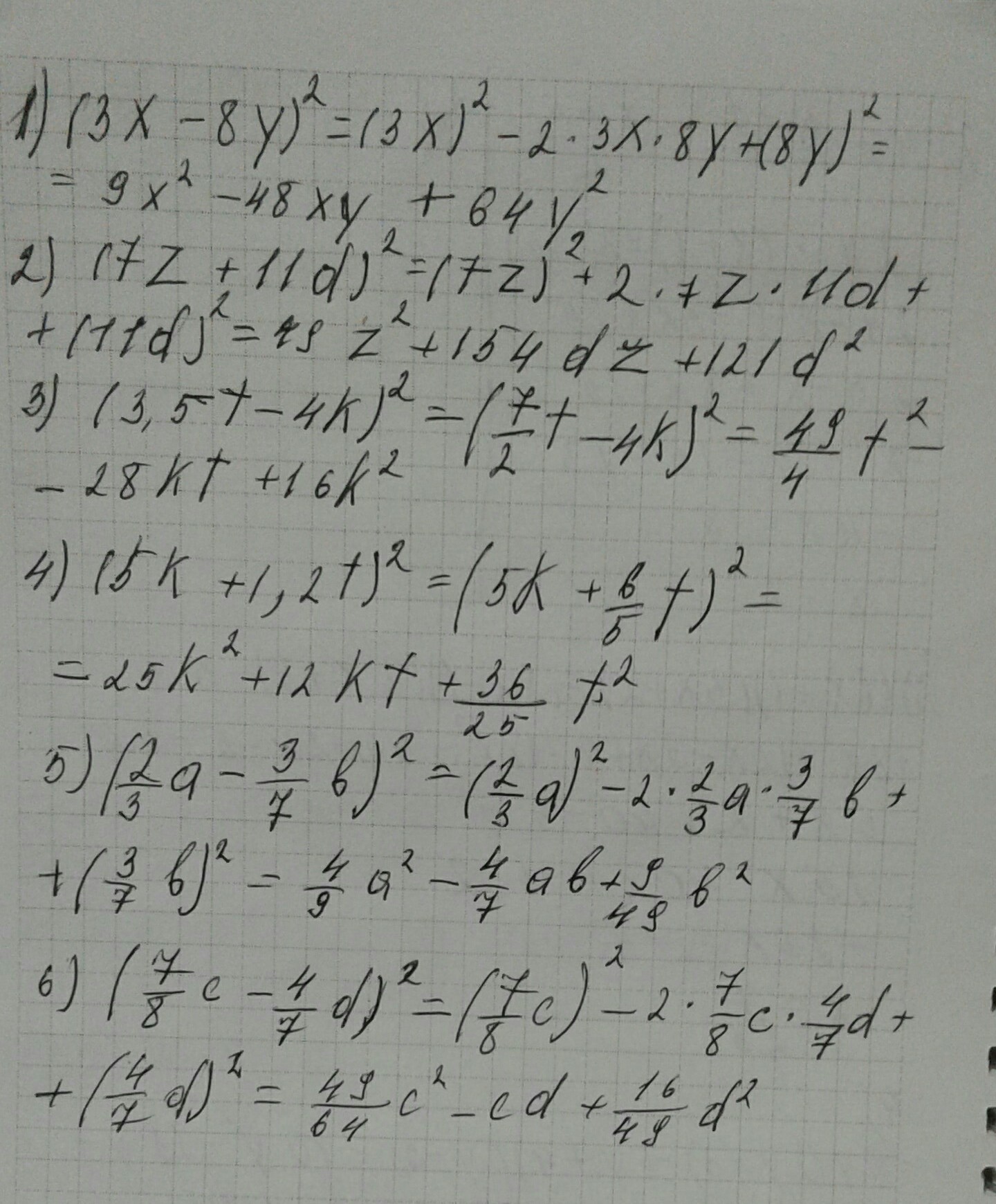
Ответы на рисунке...............
Приложения:

Ответ дал:
0
1) (3x - 8y)² = (3x)² - 2 * 3x * 8y + (8y)² = 9x² - 48xy + 64y²
2) (7z + 11d)² = (7z)² + 2 * 7z * 11d + (11d)² = 49z² + 154zd + 121d²
3) (3,5t - 4k)² = (3,5t)² - 2 * 3,5t * 4k + (4k)² = 12,25t² - 28tk + 16k²
4) (5k + 1,2t)² = (5k)² + 2 * 5k * 1,2t + (1,2t)² = 25k² + 12kt + 1,44t²
Приложения:

Вас заинтересует
2 года назад
2 года назад
3 года назад
3 года назад
8 лет назад
9 лет назад
9 лет назад