• Предмет: Математика
  • Автор: lyudsiya1337
  • Вопрос задан 8 лет назад

Помогите пожалуйста!
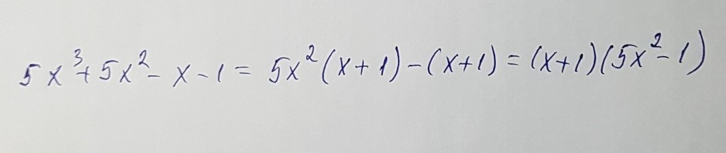
5х³+5х²-х-1

Ответы

Ответ дал: 1233090
0

решение задания смотри на фотографии

Приложения:
Ответ дал: 1233090
0
В этом задании ничего больше не сделаешь.Это видно и без условия.
Ответ дал: lyudsiya1337
0
Извините,забыл написать
Ответ дал: 1233090
0
ничего. Мне было понятно.
Ответ дал: lyudsiya1337
0
Можете ответ написать,у меня новый вопрос,и баллов больше
Ответ дал: ssuper99999
0
Знаешь, это верный ответ, зачем надо было создавать новый?
Вас заинтересует