Ответы
Ответ дал:
0
Ответ:
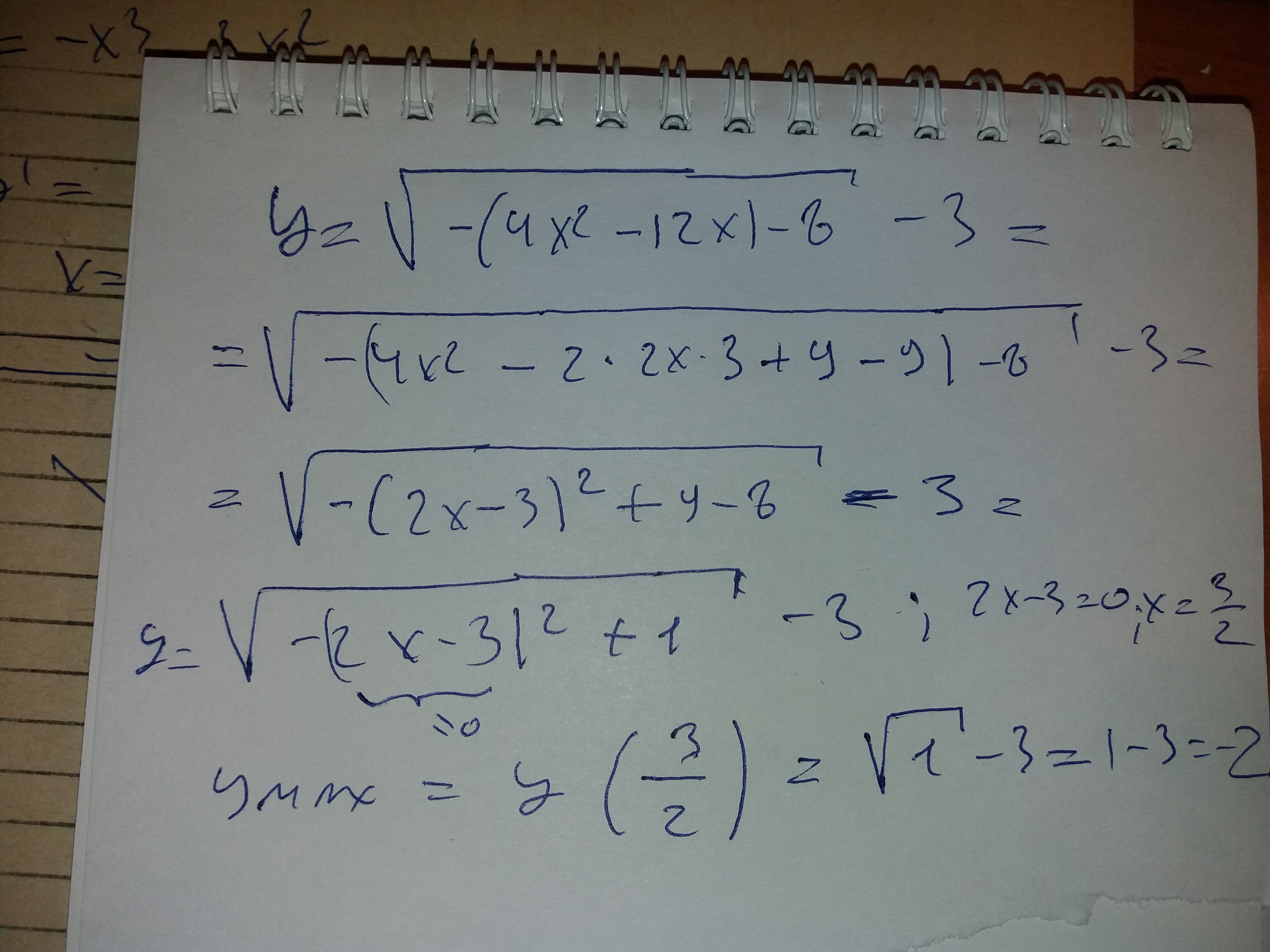
Находим с помощью производной критические точки, исследуем их на экстремум
Пошаговое объяснение:
Приложения:

Ответ дал:
0
может поможешь остальные решить очень нужно
Ответ дал:
0
пожалуйста
Ответ дал:
0
Если Вам не сложно....Помогите мне тоже, пожалуйста...( ВЫ ПОСЛЕДНЯЯ НАДЕЖДА(( https://znanija.com/task/31606790
Ответ дал:
0
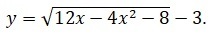
Ответ:
Пошаговое объяснение:
Приложения:

Вас заинтересует
2 года назад
3 года назад
3 года назад
8 лет назад