Ответы
Ответ дал:
0
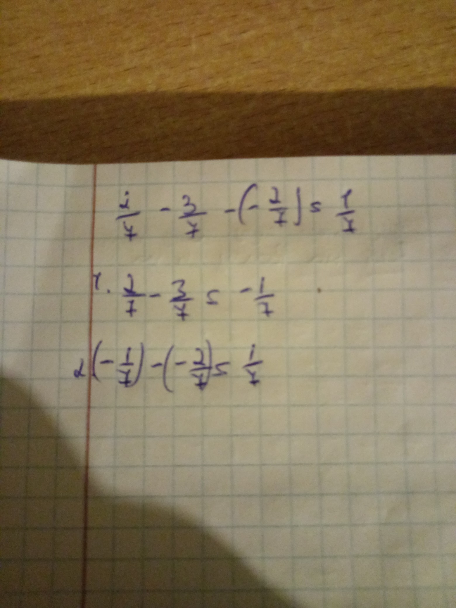
2/7-3/7-(-2/7)= - 1/7 + 2/7 = 1/7
Ответ дал:
0
Подпишись на меня пожалуйста
Приложения:

Ответ дал:
0
я нет
Ответ дал:
0
не не ты
Ответ дал:
0
тот кто задал вопрос
Ответ дал:
0
4,7 получется
Ответ дал:
0
блин это же матем,а не алгебра
Вас заинтересует
2 года назад
3 года назад
3 года назад
8 лет назад
8 лет назад
9 лет назад