• Предмет: Математика
  • Автор: Аноним
  • Вопрос задан 8 лет назад

Срочно помогите пжжж прошу вас помогите пожалуйста мне! У меня 13 минут осталось!

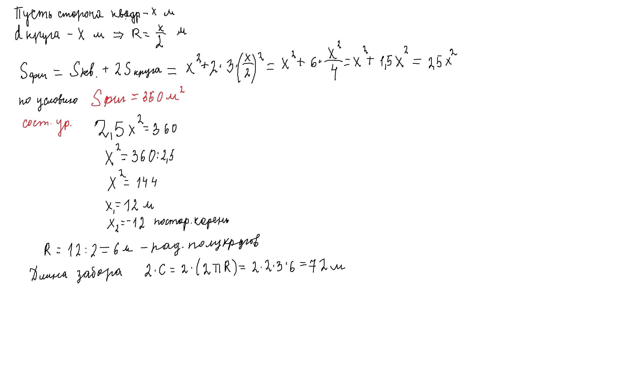
На дворе была сделана цветочная клумба, состоящая из квадрата и четырёх полукругов.

Площадь клумбы приблизительно равна 360 м²


Сколько метров декоративного забора необходимо вокруг клумбы? В расчётах использовано округлённое значение π≈3.


1. Какова длина стороны квадрата?

____ м.


2. Какова длина радиуса полукругов?

_____м.


3. Какова длина декоративного забора?

____м.

Приложения:

Ответы

Ответ дал: parus77
0

Ответ: сторона квадрата -12м

длина радиуса  полукругов -6 м

длина забора- 72м

Фигура состоит из квадрата и 4 полукругов,площадь которых в сумме равна площади 2 кругов

решение смотри внизу

Приложения:
Вас заинтересует