• Предмет: Алгебра
  • Автор: Vadim200129
  • Вопрос задан 8 лет назад

Ребята, выручайте! Без Вас никак!
Помогите разобраться в теме
Решите и подробно распишите!
Любую задачку, любое количество!
За отдельную благодарность можете Всё, хочу на ваших решениях понять тему и научиться решать эти тяжки задачи! Надеюсь на Вас!
Заранее огромное спасибо!
Помоги :)​

Приложения:

Ответы

Ответ дал: Miroslava227
0
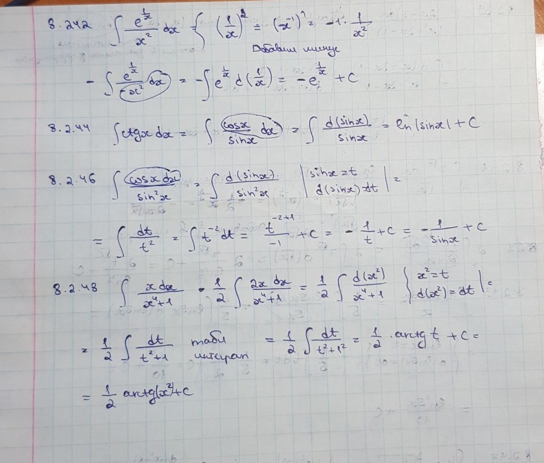
34-40 уже где-то вам решала) вот остальные, на фотографии
Приложения:
Ответ дал: Q89999
0
https://znanija.com/task/31610879
Вас заинтересует