• Предмет: Алгебра
  • Автор: kord3
  • Вопрос задан 8 лет назад

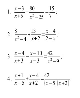
Помогите пожалуйста!

Приложения:

Ответы

Ответ дал: kiti76498
0
Как-то так, но не уверена, что правильно
Приложения:
Вас заинтересует