• Предмет: Математика
  • Автор: xuhukun
  • Вопрос задан 8 лет назад

Распишите пожалуйста

Приложения:

Ответы

Ответ дал: AlesiyaT
0

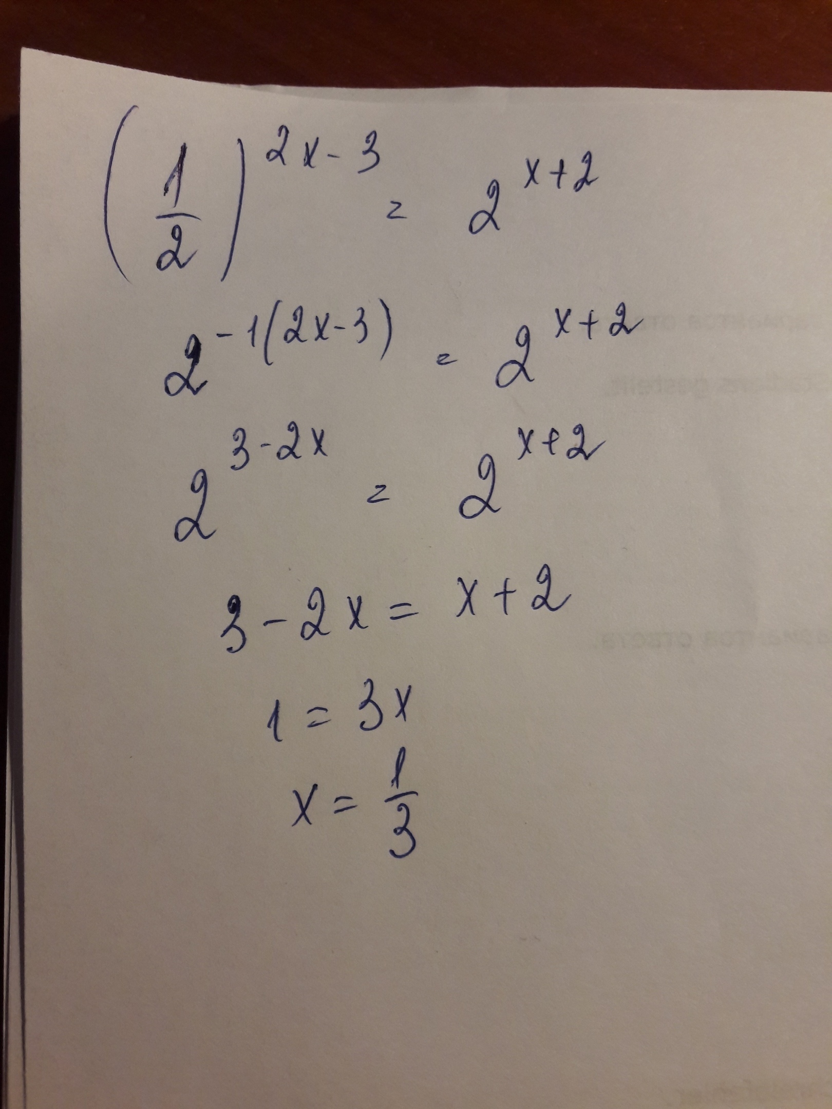
Ответ:

х=1/3

Пошаговое объяснение:

Решение во вложении.

Приложения:
Вас заинтересует