• Предмет: Математика
  • Автор: xuhukun
  • Вопрос задан 8 лет назад

Распишите пожалуйста

Приложения:

Ответы

Ответ дал: Nina1952
0
Смотри )))))))))))))))))))))))))))))))
Приложения:
Ответ дал: klsldkh
0

Ответ:

-1

Пошаговое объяснение:

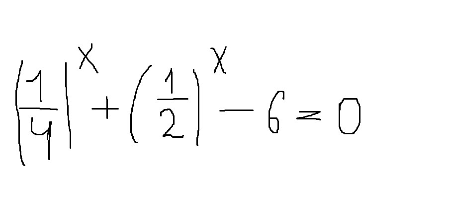
(1/4)^x + (1/2)^x-6 = 0  - Решаем заменой переменных

(1/2)^x = t

t^2 + t- 6 = 0

корни: 2 и -3

Делаем обратную замену

(1/2)^x = 2            (1/2)^x = -3

x= -1                                ∅

Приложения:
Вас заинтересует